Pituitary restart while on TRT: promising initial results with GnRH plus enclomiphene

... I'm sure you probably stated this somewhere already but where do you get the gonadorelin, progesterone and enclomiphene? And no hcg for you it looks like...
In theory everything can be obtained either with or without a prescription. However, in the case of enclomiphene the only clearly legitimate source is Tailor Made Pharmacy, which does require a prescription. Pharmaceutical grade progesterone and hCG can be obtained from AllDayChemist.com without a prescription. The options for gonadorelin seem to be limited to a doctor's prescription or a research chemical from the likes of Peptide Sciences.

HCG was used initially in this trial, but it is no longer necessary due to the successful stimulation of endogenous LH and FSH.
 
In theory everything can be obtained either with or without a prescription. However, in the case of enclomiphene the only clearly legitimate source is Tailor Made Pharmacy, which does require a prescription. Pharmaceutical grade progesterone and hCG can be obtained from AllDayChemist.com without a prescription. The options for gonadorelin seem to be limited to a doctor's prescription or a research chemical from the likes of Peptide Sciences.

HCG was used initially in this trial, but it is no longer necessary due to the successful stimulation of endogenous LH and FSH.
got it. great info. thank you again!!
 
An update at six months: Due to short-staffing at LabCorp the timing of the blood work is different this time. The older data were collected approximately 30 minutes after a GnRH injection. In this case the post-injection delay was two hours. Therefore, although the LH measurement of 2.2 mIU/mL appears to have barely changed from last time (2.1), it probably represents a decent increase because of the time elapsed from the post-injection peak. This should apply to FSH as well, though it climbed to 1.7 mIU/mL from 1.4, and has now also entered LabCorp's normal reference range (1.5-12.4).

Regarding testosterone and estradiol: The sampling was done nearly four hours after the daily injection of propionate and enanthate. Total serum testosterone was 760 ng/dL, and estradiol was 40 pg/mL. The testosterone value is not far off of the predicted peak of 780 ng/dL. The implication is that endogenous production is still minimal in spite of healthy testicular volume. The positive in this is that extra testosterone would complicate the dosing. The predicted serum testosterone trough is around 480 ng/dL.

Subjective results continue to be good; the restoration of libido persists, along with the other correlations mentioned last month.

It appears that there was minimal, if any, loss of potency in the gonadorelin solutions that were frozen for some months and then thawed, refrigerated, and used for a month.
 
4. Improved mental clarity; confounding factors include higher dietary protein and some dopamine system tinkering
I am always interested in anything that can enhance mental clarity and motivation. Have you stumbled upon anything useful in your dopamine tinkering?

I have had some limited success with L-Tyrosine, a product called "a...Drenal", and the green strain of kratom. a...Drenal is a mixture of adrenal adaptogens like rhodiola, cordyceps, ashawagonda as well as bovine adrenal tissue. These supps give me a moderate boost to mental clarity and motivation. Caffeine works OK but I metabolize it too quickly and I feel run down within 1-2 hours after taking it.

I've tried DMAE and a product called DopaBean (Mucuna pruriens). These products did not suit me very well. They feel pretty good while active but not so good after they metabolize.
 
I am always interested in anything that can enhance mental clarity and motivation. Have you stumbled upon anything useful in your dopamine tinkering?

I have had some limited success with L-Tyrosine, a product called "a...Drenal", and the green strain of kratom. a...Drenal is a mixture of adrenal adaptogens like rhodiola, cordyceps, ashawagonda as well as bovine adrenal tissue. These supps give me a moderate boost to mental clarity and motivation. Caffeine works OK but I metabolize it too quickly and I feel run down within 1-2 hours after taking it.

I've tried DMAE and a product called DopaBean (Mucuna pruriens). These products did not suit me very well. They feel pretty good while active but not so good after they metabolize.

Have been using Acetyl-L-Carnitine 2 grams twice daily great pre-workout and to amp yourself up in the am.

Buy in bulk powder.

Has numerous health benefits.



Screenshot (1814).webp
 
Have been using Acetyl-L-Carnitine 2 grams twice daily great pre-workout and to amp yourself up in the am.

Buy in bulk powder.

Has numerous health benefits.



View attachment 10481
Nice. Definitely going to try this.
PS. I take it you are not buying the "meat causes heart disease" via the carnitine to TMAO pathway? Spoiler alert. I think it is a big nothing burger.
 
I am always interested in anything that can enhance mental clarity and motivation. Have you stumbled upon anything useful in your dopamine tinkering?
...
I think the improved cognition better correlates with the GnRH use. However, I have been trying low doses of selegiline (L-deprenyl). Here's a cheerleading article, but it's always good to balance those with the Wiki article to learn about potential negatives.
 
Thank you Cat. One last thing. Has your new-ish protocol done anything for your sleep?
Not much difference there, though I think I've mentioned that the progesterone supplementation I started last year adds basically a solid hour to quality sleep. Diphenhydramine or doxylamine are both really effective for me, but I'm trying to get away from them due to concerns about long-term anti-cholinergic activity. A doctor on here (@mmmcgill) put hydroxyzine on my radar. I was intrigued that Wiki's sources say it has minimal anti-cholinergic activity. However, on many lists of anti-cholinergics one finds that hydroxyzine is ranked alongside diphenhyramine as a potent anti-choliinergic. So I'm not sure what the truth is about this drug.
 
One of those inexpensive home fertility tests suggests that this protocol is capable of maintaining or inducing fertility, with a sperm count of greater than 20 million per milliliter. The "T" line is faint, but present.
 

Attachments

  • Untitled 3.webp
    Untitled 3.webp
    2.9 KB · Views: 346
One thing that remains unclear is the importance of enclomiphene in this protocol. To explore this the enclomiphene was discontinued for four weeks. Simultaneously the TRT dose was reduced to the lowest level yet: 2.8 mg testosterone enanthate and 2.1 mg testosterone propionate daily. This is equivalent to taking a mere 38 mg testosterone cypionate per week. The 3.8 mg pure testosterone per day is even on the low side for natural men, who are said to make 3-9 mg per day. Quantitatively, LH and FSH both dropped about 30% by the end of the trial from their previous levels around 2 mIU/mL. Peak total testosterone was 525 ng/dL, somewhat lower than the predicted 600. Peak estradiol was 25 pg/mL, right at the predicted level. The subjective results during this period were generally acceptable, with one significant exception. Libido, sexual function, drive, etc. all stayed reasonable, though with perhaps more variability than previously observed. Unexpectedly, the reason the trial was halted was due to the virtually unrelenting testicular discomfort. While testicular discomfort is not unusual during periods of increasing or decreasing gonadotropins, the greater intensity and fairly continuous nature were such that thoughts of waiting it out were discarded. This is unfortunate from a scientific standpoint, as it would have been useful to see if the gonadotropins continued to decline in the absence of the SERM. Alternatively, given the very low TRT dose, perhaps further reductions would have been minimal.

It's unclear why this particular transition would be especially bothersome to the testicles compared to something like starting TRT from scratch. In any case, resumption of 12.5 mg enclomiphene EOD was sufficient to rapidly resolve the issue. The TRT dose was bumped up slightly to 3.2 mg testosterone enanthate and 2.4 mg testosterone propionate daily. Although equivalent to taking only 44 mg testosterone cypionate per week, it's predicted to put daily peak serum testosterone close to 700 ng/dL.
 
Last edited:
More practically, the TRT community needs to know whether or not less frequent GnRH injections can provide benefits beyond the production of gonadotropins. That is, if you're already taking hCG with your TRT then you wouldn't bother with the enclomiphene. Instead you'd just add gonadorelin to your daily or EOD injections. Will you feel better than without? It's uncertain, because one GnRH pulse a day is a long way from the natural 16 or so. But because six pulses a day seem to work, there's at least hope. Anybody wanting to experiment should of course do it under a doctor's supervision.
Reading through this again got me thinking about the possibility of substituting GnRH for HCG as I generally feel terrible the day after HCG injection regardless of dosage.

Have you experimented with a single GnRH dose per day? Doesn’t LH similarly pulse throughout the day and yet HCG is typically only dosed 2x per week?
 
Reading through this again got me thinking about the possibility of substituting GnRH for HCG as I generally feel terrible the day after HCG injection regardless of dosage.

Have you experimented with a single GnRH dose per day? Doesn’t LH similarly pulse throughout the day and yet HCG is typically only dosed 2x per week?
I haven't tried less frequent dosing of GnRH. I'll speculate that a single daily dose could provide a little benefit through its stimulation of various receptors that are otherwise deprived while we're on TRT. However, I doubt this frequency is enough to sustain LH production, though I'd like to be wrong about this. The treatment would be a lot more accessible if it worked without multiple daily doses.

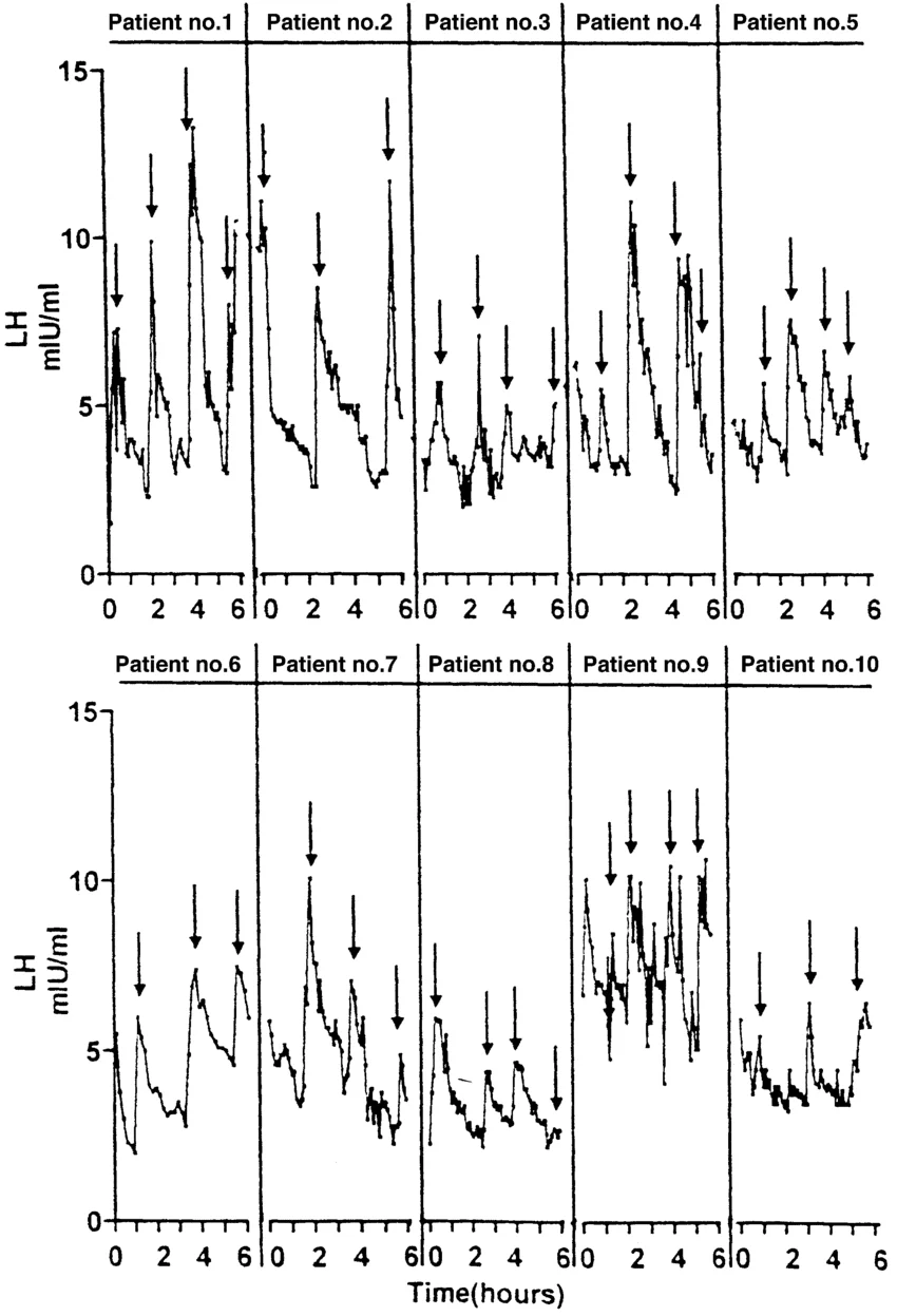
LH is indeed pulsed throughout the day, as in the data below. The half-life of LH is less than an hour, while the half-life of hCG is more like 36 hours. Thus I've speculated about why hCG is problematic: Suppose the peak level of LH is what's most important for various functions. Natural men have these narrows peaks and lots of time at lower baseline levels. Compared to LH levels, hCG levels will seem to be almost constant because they fall so slowly. Matching normal LH peaks with hCG means having relatively high levels of hCG all the time. I suspect this contributes to excessive aromatization and other problems that are associated with hCG.
Luteinizing-hormone-LH-pulsatility-in-10-men-with-proven-fertility-The-LH-profile-was.webp
 
I haven't tried less frequent dosing of GnRH. I'll speculate that a single daily dose could provide a little benefit through its stimulation of various receptors that are otherwise deprived while we're on TRT. However, I doubt this frequency is enough to sustain LH production, though I'd like to be wrong about this. The treatment would be a lot more accessible if it worked without multiple daily doses.

LH is indeed pulsed throughout the day, as in the data below. The half-life of LH is less than an hour, while the half-life of hCG is more like 36 hours. Thus I've speculated about why hCG is problematic: Suppose the peak level of LH is what's most important for various functions. Natural men have these narrows peaks and lots of time at lower baseline levels. Compared to LH levels, hCG levels will seem to be almost constant because they fall so slowly. Matching normal LH peaks with hCG means having relatively high levels of hCG all the time. I suspect this contributes to excessive aromatization and other problems that are associated with hCG.
View attachment 11920
What an incredible thing. Do Trt with the lowest possible dose and without blocking the HPA axis. What would the current proposal be like with the cypionate alone? Would you remove the HCG? And encomiflene could not be used to what extent?
 
What an incredible thing. Do Trt with the lowest possible dose and without blocking the HPA axis. What would the current proposal be like with the cypionate alone? Would you remove the HCG? And encomiflene could not be used to what extent?
The protocol should still work when T cypionate is used instead of a combination that includes T propionate. However, if there are benefits in having diurnal variation in testosterone and estradiol then they are lost—because T cypionate produces pretty constant levels when injected frequently.

One of the benefits of this protocol is that it makes hCG unnecessary. This would hold regardless of the testosterone ester.

My guess is that enclomiphene would be more important with a long-lasting ester such as T cypionate. One would not have significant time each day with lower levels of estradiol, so the extra suppressive activity at the pituitary would need to be counteracted with the SERM.
 
Last edited:
@Cataceous - Any updates to your protocol?

I ask because I switched to low dose daily propionate injections (8-10mg per day) based on your success along with @JA Battle. My body seems to have adapted to the spikes of pure prop versus your blend. Overall good results so far at the 5 week mark, but the upstream suppression seems to be rearing its ugly head again in the form of blunted emotions along with low libido (although not nearly as pronounced as on cypionate 100mg weekly split 3.5D) This leads me to my next question...

Considering GnRH protocol is not doable for many of us, is there any benefit to enclomiphene in minimizing HPTA suppression caused by the exo T? Or is GnRH the key player for that purpose?
 
@Cataceous - Any updates to your protocol?

I ask because I switched to low dose daily propionate injections (8-10mg per day) based on your success along with @JA Battle. My body seems to have adapted to the spikes of pure prop versus your blend. Overall good results so far at the 5 week mark, but the upstream suppression seems to be rearing its ugly head again in the form of blunted emotions along with low libido (although not nearly as pronounced as on cypionate 100mg weekly split 3.5D) This leads me to my next question...

Considering GnRH protocol is not doable for many of us, is there any benefit to enclomiphene in minimizing HPTA suppression caused by the exo T? Or is GnRH the key player for that purpose?
My protocol is fairly stable now and is outlined here. I continue to do some small-scale tweaking and will report if I learn anything interesting.

Regarding GnRH, did you see the claims of Royal Medical Center? Direct info here. They are saying that infrequent large GnRH doses produce subsequent (single?) pulses of LH and FSH that are physiological in size. What's less clear is whether this protocol results in subjective benefits. RMC is implying that results are comparable to what's obtained with hCG, but this seems questionable. We really need to see some comments from guys on this protocol.

Getting back to your question, it appears that for most guys on regular TRT, enclomiphene is not very helpful. There is direct suppression by testosterone at the hypothalamus, which prevents kisspeptin creation, which in turn prevents GnRH creation, and so on. Unfortunately we don't have some perfect SARM that blocks androgens at the hypothalamus and has no other effects. So we're left with three strategies:
  • Lower the (average?) serum androgen level by enough to avoid the suppression. Using Natesto is one way to accomplish this, and it suggests that relatively short and large androgen pulses are not very suppressive. Perhaps in some cases there would be a dose of propionate that's low enough to allow HPTA operation but high enough to prevent hypogonadism.
  • Bypass the suppression at the hypothalamus with exogenous kisspeptin. The research on this looks promising [1,2,3], but we need to know more.
  • Bypass the suppression at the hypothalamus with exogenous GnRH.
Each of these would work better with enclomiphene, because estradiol works against production of LH and FSH by the pituitary.
 
My protocol is fairly stable now and is outlined here. I continue to do some small-scale tweaking and will report if I learn anything interesting.

Regarding GnRH, did you see the claims of Royal Medical Center? Direct info here. They are saying that infrequent large GnRH doses produce subsequent (single?) pulses of LH and FSH that are physiological in size. What's less clear is whether this protocol results in subjective benefits. RMC is implying that results are comparable to what's obtained with hCG, but this seems questionable. We really need to see some comments from guys on this protocol.

Getting back to your question, it appears that for most guys on regular TRT, enclomiphene is not very helpful. There is direct suppression by testosterone at the hypothalamus, which prevents kisspeptin creation, which in turn prevents GnRH creation, and so on. Unfortunately we don't have some perfect SARM that blocks androgens at the hypothalamus and has no other effects. So we're left with three strategies:
  • Lower the (average?) serum androgen level by enough to avoid the suppression. Using Natesto is one way to accomplish this, and it suggests that relatively short and large androgen pulses are not very suppressive. Perhaps in some cases there would be a dose of propionate that's low enough to allow HPTA operation but high enough to prevent hypogonadism.
  • Bypass the suppression at the hypothalamus with exogenous kisspeptin. The research on this looks promising [1,2,3], but we need to know more.
  • Bypass the suppression at the hypothalamus with exogenous GnRH.
Each of these would work better with enclomiphene, because estradiol works against production of LH and FSH by the pituitary.
Cataceous, how are you still doing on your protocol? How long now since you first began?

I'm curious to know as I've sourced a 5mg vial of Kisspeptin-10 and will now try to find Enclomiphine here in Mexico in hopes of duplicating(somewhat) your results with a slightly less stringent pin schedule. I'm not daily injecting Test as I once was but instead I've had Test pellets inserted about 7 weeks ago, so I have a few months more with these before I could change up my Test source. However, I am running about 730-800 ng/dL peak(steady-no trough) so should my own production of Test start up again, I feel I have some room for my peak to not get too out of control.
My thought is to try Kisspeptin-10 at least once a day, but perhaps 2x a day(morn/night) and then daily or eod Enclomiphine as you were doing in your current protocol.

There hasn't been anyone else that I'm aware of here at Excelmale that has tried duplicating your results by doing fewer injections. I'm working with a local hormone doctor so she'll monitor my results bi-weekly. She's great because she allows her patients some leeway in trying different things to find better results.

I'm literally tired(both physically & mentally) of having good Test numbers but with flat emotions and significantly reduced libido. We'll see what happens though with this new approach.
 
Cataceous, how are you still doing on your protocol? How long now since you first began?

I'm curious to know as I've sourced a 5mg vial of Kisspeptin-10 and will now try to find Enclomiphine here in Mexico in hopes of duplicating(somewhat) your results with a slightly less stringent pin schedule. I'm not daily injecting Test as I once was but instead I've had Test pellets inserted about 7 weeks ago, so I have a few months more with these before I could change up my Test source. However, I am running about 730-800 ng/dL peak(steady-no trough) so should my own production of Test start up again, I feel I have some room for my peak to not get too out of control.
My thought is to try Kisspeptin-10 at least once a day, but perhaps 2x a day(morn/night) and then daily or eod Enclomiphine as you were doing in your current protocol.
...
I am still happy with the protocol, though I continue to experiment. I've been using the gonadorelin/enclomiphene combination for about 19 months. Kisspeptin-10 has been in the mix for a few months less, and I haven't used it without gonadorelin to see if it is stimulating production of endogenous GnRH. It sounds like that's what you're interested in. It would be good to know if this works.

From what I've read it may work if you can figure out the correct dosing. Enclomiphene is potent enough to keep the pituitary active in spite of normal levels of estradiol. Additionally, exogenous kisspeptin cannot be attenuated by negative feedback from either estrogens or androgens. One caveat is that levels of GnIH cannot be too high. This hormone acts in opposition to kisspeptin and GnRH, making it an HPTA suppressor. One of its functions is to suppress reproductive ability during times of reduced calorie intake. It's easy to imagine that dysfunction in this mechanism is one of various underlying causes of hypogonadism.

Your first measure of progress should be in increasing LH/FSH. At least for me it took a couple months to see significant effects.
 

hCG Mixing Calculator

HCG Mixing Protocol Calculator

TRT Hormone Predictor Widget

TRT Hormone Predictor

Predict estradiol, DHT, and free testosterone levels based on total testosterone

⚠️ Medical Disclaimer

This tool provides predictions based on statistical models and should NOT replace professional medical advice. Always consult with your healthcare provider before making any changes to your TRT protocol.

ℹ️ Input Parameters

Normal range: 300-1000 ng/dL

Predicted Hormone Levels

Enter your total testosterone value to see predictions

Results will appear here after calculation

Understanding Your Hormones

Estradiol (E2)

A form of estrogen produced from testosterone. Important for bone health, mood, and libido. Too high can cause side effects; too low can affect well-being.

DHT

Dihydrotestosterone is a potent androgen derived from testosterone. Affects hair growth, prostate health, and masculinization effects.

Free Testosterone

The biologically active form of testosterone not bound to proteins. Directly available for cellular uptake and biological effects.

Scientific Reference

Lakshman KM, Kaplan B, Travison TG, Basaria S, Knapp PE, Singh AB, LaValley MP, Mazer NA, Bhasin S. The effects of injected testosterone dose and age on the conversion of testosterone to estradiol and dihydrotestosterone in young and older men. J Clin Endocrinol Metab. 2010 Aug;95(8):3955-64.

DOI: 10.1210/jc.2010-0102 | PMID: 20534765 | PMCID: PMC2913038

Online statistics

Members online
5
Guests online
175
Total visitors
180

Latest posts

hCG Mixing Calculator

HCG Mixing Protocol Calculator

Beyond Testosterone Podcast

Back
Top