Free Testosterone - Harmonize diagnostic efforts in steroid hormonology

madman

Super Moderator
Measurement and reporting of clinical testosterone diagnostics: a European survey (2023)


*
Three fractions circulate in plasma: the unbound (free) fraction, the fraction bound to specific binding proteins, such as sex hormone-binding globulin (SHBG) and vitamin D binding protein (DBP); and the albumin-bound fraction

*The equilibrium state between these fractions is characterized not only by total hormone concentration but also by BP concentration and binding affinities for their respective metabolites1


*The use of calculators, relying on historically determined BP affinity constants in healthy populations, could however lead to inaccurate assessment of the free fraction, especially in patients in whom BP characteristics are altered, e.g. chronic kidney disease (CKD), pregnancy, liver disease, and obesity2

*Using the results of this survey, we aim to harmonize diagnostic efforts in steroid hormonology in the future, using an evidence-based approach

*This survey is part of a larger project funded by research foundation Flanders (FWO): ‘Better estimates of hormonal exposure to improve diagnosis and treatment in endocrine diseases(BEED-ED).’

*The BEEDED project aims to improve the accuracy, accessibility, and therefore clinical applicability of (free) steroid hormone levels, both in the general population as well as in conditions where conventional estimations on steroid hormone bioavailability are likely to be disturbed, such as obesity and organ failure



1679106852162.png


1679105074497.png






2. Background and rationale

Steroid hormones, such as sex steroids (androgens and estrogens), glucocorticoids, and vitamin D, are of vital physiological importance from fetal life to adulthood. Three fractions circulate in plasma: the unbound (free) fraction, the fraction bound to specific binding proteins, such as sex hormone-binding globulin (SHBG) and vitamin D binding protein (DBP); and the albumin-bound fraction. The equilibrium state between these fractions is characterized not only by total hormone concentration but also by BP concentration and binding affinities for their respective metabolites1.

Routinely used analytical techniques in clinical laboratories mostly only measure total hormone levels and further rely on calculators to estimate free hormone concentrations, taking into account BP characteristics (concentration and binding affinity) 2. The use of calculators, relying on historically determined BP affinity constants in healthy populations, could however lead to inaccurate assessment of the free fraction, especially in patients in whom BP characteristics are altered, e.g. chronic kidney disease (CKD), pregnancy, liver disease, and obesity2.


In conditions where BP characteristics are altered, a direct measurement of free hormone levels could lead to a more correct diagnosis and therapeutic intervention. Direct measurement is however laborious, requires specialized equipment and staff expertise, and is only done in a limited number of centers3.

Measuring total testosterone in serum is paramount in the diagnostic work-up of male hypogonadism. However, adding free testosterone to the diagnostic panel of male hypogonadism could increase diagnostic sensitivity. Professional societies, such as the European Academy of Andrology and the Endocrine Society, decided to amend their guidelines on the diagnosis of hypogonadism in men, including free testosterone as an additional parameter4,5.


However, a precise definition of the lower limit of ‘normal’ total testosterone still remains ambiguous. For hypogonadism, guidelines recommend using local populations to validate total testosterone assays in order to create population-based reference ranges 3. Lacking a golden standard calibrating specimen, this results in various reference ranges being used in different clinical laboratories around the world. For free testosterone, on the other hand, technical difficulties delay implementation in clinical routine. Between clinical laboratories, free testosterone is sometimes measured, but more often calculated. This results in an even greater variance of test characteristics (e.g. used formula) and reference ranges.




3. Study objectives and Design

3.1 Study objectives

This survey will serve as a tool to map current clinical diagnostic practices concerning (free) steroid hormone measurements/calculations. To date, analogous surveys have only been conducted in the US and the UK6,7. With our survey, we aim to map clinical diagnostic practices throughout Europe.

To get insight into the diversity of practices, an inquiry will be made to clinical laboratories about their methods used to measure steroid hormone levels and their BPs, reference ranges, method validation/calibration, and other variables of importance. Using the results of this survey, we aim to harmonize diagnostic efforts in steroid hormonology in the future, using an evidence-based approach.

This survey is part of a larger project funded by research foundation Flanders (FWO): ‘Better estimates of hormonal exposure to improve diagnosis and treatment in endocrine diseases(BEED-ED).’ The BEEDED project aims to improve the accuracy, accessibility, and therefore clinical applicability of (free) steroid hormone levels, both in the general population as well as in conditions where conventional estimations on steroid hormone bioavailability are likely to be disturbed, such as obesity and organ failure.





3.2 ‘Primary endpoints’

Mapping of current clinical practice on steroid diagnostics in European clinical laboratories, more specifically:


- Total testosterone
- Sex hormone-binding globulin (SHBG)
- Free testosterone
- Bioavailable testosterone



3.3 Study Design


4. Selection of participating clinical laboratories

4.1 Inclusion criteria
4.2 Exclusion criteria



5. Ethics and regulatory approvals


6. Data Handling and Management



7. Financial Aspects




Prof. Dr. Leen Antonio, MD, Ph.D. –
Endocrinology UZ Leuven, Belgium
Prof. Dr. Bruno Lapauw, MD, Ph.D. – Endocrinology UZ Ghent, Belgium
Dr. Tom Fiers, MD, Ph.D. – Laboratory Medicine UZ Ghent, Belgium
Nick Narinx, MD – Clinical Chemistry UZ Leuven, Belgium
 

Attachments



Project description

Steroid hormones such as testosterone or vitamin D are vital for human physiology. In circulation, steroid hormones bind to albumin and specific binding proteins (BP) with only a small fraction circulating freely. The free hormone hypothesis suggests that this free fraction best reflects the biological activity. Though experimental and clinical data support this, routinely available methods measure total steroid hormone levels. Relying on total hormone levels could lead to misrepresentation of the hormonal status, especially in conditions where BP production is altered (organ failure, obesity, pregnancy), impairing correct diagnosis and treatment. Direct-free hormone measurements are only performed in specialized research labs and not available in clinical routine. Formulas to estimate free steroid hormone concentrations have been developed, but their applicability in many clinical conditions is questionable, so is the correctness of therapeutic actions based on these results. With BEED-ED, we will improve the clinical applicability of free steroid hormone concentrations in patients with specific conditions by using state-of-the-art methodology. Specifically, we will establish reference ranges in healthy subjects and investigate the reliability of free hormone estimates in individuals with alterations in BP production and/or binding affinity. Based on these findings, we will improve current formulas and, if needed, develop condition-specific calculators to better estimate free hormone levels. We will evaluate the impact of frequently used BP assays on calculated free steroid hormone results and survey the use of free hormone calculators and access to direct measurements in Flanders and Europe. Ultimately, the project will result in the development of clinical sample workflows based on screening of free steroid hormone levels by calculation and if needed sample referral to reference laboratories for direct measurements.


Screenshot (21685).png

Screenshot (21686).png
 
BIOCHEMICAL ASSESSMENT OF MALE ANDROLOGICAL STATUS USING SEX HORMONE-BINDING GLOBULIN AND TOTAL AND FREE TESTOSTERONE IN EUROPEAN CLINICAL LABORATORIES
N. Narinx, K. David, Walravens, G. Snaterse, P. Vermeersch, T. Fiers, B. Lapauw,D. Vanderschueren,L. Antonio

1 Laboratory of Clinical and Experimental Endocrinology, Department of Chronic Diseases and Metabolism, KU Leuven, Belgium
2 Department of Laboratory Medicine, University Hospitals Leuven, Belgium
3 Department of Endocrinology, University Hospitals Leuven, Belgium
4 Department of Internal Medicine and Pediatrics, Ghent University, Belgium
5 Department of Laboratory Medicine, Ghent University Hospital, Belgium
6 Department of Endocrinology, Ghent University Hospital, Belgium


Background

Male hypogonadism (HG) manifests by one or more signs of androgen deficiency. However, prior to starting testosterone replacement therapy (TRT) in patients with HG, biochemical confirmation of deficient gonadal production of testosterone (T) is necessary. Despite the recommendation in clinical practice guidelines of assessing circulating total T levels, to date there is no agreement on differentiating low from normal circulating total T. Several studies have demonstrated the potential added value of free T in the context of HG. The Endocrine Society (ES) suggests adding free T as an extra biochemical marker when total T is near the lower limit of normal or in men that have condition-altering sex hormone-binding globulin (SHBG) concentrations.

Surveys conducted in clinical laboratories in the United States of America, the United Kingdom, and the Republic of Ireland uncovered that inconsistencies exist between guidelines on HG and clinical practice. These studies highlighted a high variability in the methodology of biochemical assessment of male andrological status. Different assay types for total and free T are used, lacking standardization and harmonization between laboratories, resulting in divergent reference values for total and free T. As the diagnosis of HG and prescription of TRT is highly dependent on biochemical assessment, and TRT is not without risk of adverse events, harmonization of laboratory practice concerning total and free T is strongly recommended.



Objective

The purpose of our study is to map the diagnostic landscape concerning methodology on biochemical assessment of male andrological status (total T, free T, and SHBG) throughout Europe.


Methods

A web-based survey has been issued to European clinical laboratories via several platforms (including the RBSLM). The survey contains questions on patient sampling, analytical methodology, reference ranges, and post-analytical phase of SHBG and total, free, and bioavailable T. Distribution of the survey started on the 1st of September 2022.


Results

As the survey has only just been launched, results are not available at the time of abstract submission. Responses are expected to come in through the course of September and October. By November we will have collected and analyzed preliminary data to present at the RBSLM annual meeting.
 


*We established mFT reference ranges for healthy men aged 18 to 69 years




We present 95% mFT age-stratified reference ranges


Age category (years)

Median mFT (ng/dl)

95% mFT reference range (ng/dl)

18-29 (n=140)
30-39 (n=252)

12.0
9.8

6.7-25.3
4.9-18.5

40-49 (n=207)

8.1

4.3.14.2

50-59 (n=146)

7.1

3.8-12.8

60-69 (n=126)

6.4

3.4-11.7

70-79 (n=125)

5.6

2.7-8.7

*The gold-standard for the determination of FT levels is considered to be directly measured free testosterone (mFT) using equilibrium dialysis followed by mass spectrometry (ED LC-MS/MS). However, no widely accepted reference ranges are available for this clinical parameter. We established mFT reference ranges for healthy men aged 18 to 69 years




*Serum samples were analyzed from healthy men participating in the SIBLOS/SIBEX and EMAS studies, both population-based cohort studies



* mFT levels were measured in 867 men using ED LC-MS/MS as previously reported (1).


Reference:
1. Fiers T, Wu F, Moghetti P, Vanderschueren D, Lapauw B, Kaufman JM. Reassessing Free-Testosterone Calculation by Liquid Chromatography–Tandem Mass Spectrometry Direct Equilibrium Dialysis. J Clin Endocrinol Metab. 2018;103(6). doi:10.1210/jc.2017-02360


------4


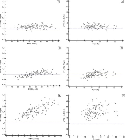
In the current study, we used a state-of-the-art direct ED method to reassess FT in sets of representative serum samples. This method takes advantage of the ability of a highly sensitive and accurate measurement of T by liquid chromatography–tandem mass spectrometry (LC-MS/MS) to reliably measure the low FT concentration directly in the dialysate after ED. This more straightforward method avoids potential sources of inaccuracy in indirect ED, such as those resulting from tracer impurities or from measures to limit their impact (e.g., sample dilution). We then used the measured FT results to re-evaluate some characteristics of two more established and a more recently proposed calculations for estimation of FT.
 
BIOCHEMICAL ASSESSMENT OF MALE ANDROLOGICAL STATUS USING SEX HORMONE-BINDING GLOBULIN AND TOTAL AND FREE TESTOSTERONE IN EUROPEAN CLINICAL LABORATORIES
N. Narinx, K. David, Walravens, G. Snaterse, P. Vermeersch, T. Fiers, B. Lapauw,D. Vanderschueren,L. Antonio

1 Laboratory of Clinical and Experimental Endocrinology, Department of Chronic Diseases and Metabolism, KU Leuven, Belgium
2 Department of Laboratory Medicine, University Hospitals Leuven, Belgium
3 Department of Endocrinology, University Hospitals Leuven, Belgium
4 Department of Internal Medicine and Pediatrics, Ghent University, Belgium
5 Department of Laboratory Medicine, Ghent University Hospital, Belgium
6 Department of Endocrinology, Ghent University Hospital, Belgium


Background

Male hypogonadism (HG) manifests by one or more signs of androgen deficiency. However, prior to starting testosterone replacement therapy (TRT) in patients with HG, biochemical confirmation of deficient gonadal production of testosterone (T) is necessary. Despite the recommendation in clinical practice guidelines of assessing circulating total T levels, to date there is no agreement on differentiating low from normal circulating total T. Several studies have demonstrated the potential added value of free T in the context of HG. The Endocrine Society (ES) suggests adding free T as an extra biochemical marker when total T is near the lower limit of normal or in men that have condition-altering sex hormone-binding globulin (SHBG) concentrations.

Surveys conducted in clinical laboratories in the United States of America, the United Kingdom, and the Republic of Ireland uncovered that inconsistencies exist between guidelines on HG and clinical practice. These studies highlighted a high variability in the methodology of biochemical assessment of male andrological status. Different assay types for total and free T are used, lacking standardization and harmonization between laboratories, resulting in divergent reference values for total and free T. As the diagnosis of HG and prescription of TRT is highly dependent on biochemical assessment, and TRT is not without risk of adverse events, harmonization of laboratory practice concerning total and free T is strongly recommended.



Objective

The purpose of our study is to map the diagnostic landscape concerning methodology on biochemical assessment of male andrological status (total T, free T, and SHBG) throughout Europe.


Methods

A web-based survey has been issued to European clinical laboratories via several platforms (including the RBSLM). The survey contains questions on patient sampling, analytical methodology, reference ranges, and post-analytical phase of SHBG and total, free, and bioavailable T. Distribution of the survey started on the 1st of September 2022.


Results

As the survey has only just been launched, results are not available at the time of abstract submission. Responses are expected to come in through the course of September and October. By November we will have collected and analyzed preliminary data to present at the RBSLM annual meeting.

 
 
 
 
 

hCG Mixing Calculator

HCG Mixing Protocol Calculator

TRT Hormone Predictor Widget

TRT Hormone Predictor

Predict estradiol, DHT, and free testosterone levels based on total testosterone

⚠️ Medical Disclaimer

This tool provides predictions based on statistical models and should NOT replace professional medical advice. Always consult with your healthcare provider before making any changes to your TRT protocol.

ℹ️ Input Parameters

Normal range: 300-1000 ng/dL

Predicted Hormone Levels

Enter your total testosterone value to see predictions

Results will appear here after calculation

Understanding Your Hormones

Estradiol (E2)

A form of estrogen produced from testosterone. Important for bone health, mood, and libido. Too high can cause side effects; too low can affect well-being.

DHT

Dihydrotestosterone is a potent androgen derived from testosterone. Affects hair growth, prostate health, and masculinization effects.

Free Testosterone

The biologically active form of testosterone not bound to proteins. Directly available for cellular uptake and biological effects.

Scientific Reference

Lakshman KM, Kaplan B, Travison TG, Basaria S, Knapp PE, Singh AB, LaValley MP, Mazer NA, Bhasin S. The effects of injected testosterone dose and age on the conversion of testosterone to estradiol and dihydrotestosterone in young and older men. J Clin Endocrinol Metab. 2010 Aug;95(8):3955-64.

DOI: 10.1210/jc.2010-0102 | PMID: 20534765 | PMCID: PMC2913038

Online statistics

Members online
3
Guests online
338
Total visitors
341

Latest posts

hCG Mixing Calculator

HCG Mixing Protocol Calculator

Beyond Testosterone Podcast

Back
Top